frippegubben
Aktiv medlem
snittfart för gubbar över 50
Det är väl några som bidat sin tid, som inte var över 50 när tråden startades och tänkte att 'nu jäklar får jag vara med'.
Följ med i videon nedan för att se hur du installerar vår webbplats som en webbapp på din startskärm.
Notera: This feature may not be available in some browsers.
ForesterGuy sa:Bengt-re sa:CW sa:Svarar på en 4 år gammal tråd. Jaja..
Ja. Den var ju med i happyreklamen.
Clickbait!
Gubbcyklist sa:Tack för tipsen GoranS, jag tar dig på orden. Nästa år ska jag våga mig på Södertörns Pärla!
Anders H sa:Skaffa dig lite sällskap att åka med så går det mycket fortare.
Nä, för då fanns inte internet..Pfaff sa:skriva i denna tråd har jag fått i snart 18 år. ?
Stumpy sa:Nä, för då fanns inte internet..Pfaff sa:skriva i denna tråd har jag fått i snart 18 år. ?
..eller i alla fall inte denna tråden. :)
Stumpy sa:Nä, för då fanns inte internet..Pfaff sa:skriva i denna tråd har jag fått i snart 18 år. ?
..eller i alla fall inte denna tråden. :)
Gano sa:Min förhatliga gräns är 30 km/h
Gano sa:Cykel i carbon, ca 8 kg.
GoranS sa:Exakt vad avses med "exponentiellt ökande roll"? Vad är det som växer exponentiellt och som funktion av vad?
Jag har inte ifrågasatt att kraften som krävs för att övervinna luftmotståndet är proportionell mot farten i kvadrat. Jag frågade vad det är som du menar växer exponentiellt. Jag har inte läst MIT-rapporten, men en sökning på exponential i den rapporten ger inga träffar.jokke sa:GoranS sa:Exakt vad avses med "exponentiellt ökande roll"? Vad är det som växer exponentiellt och som funktion av vad?
Luftmotståndet ökar mot kvadraten på hastigheten, eftersom den är proportionell mot tvärsnittsytan. En bra förklaring finns på Wikipedia: https://sv.wikipedia.org/wiki/Luftmotstånd
Men det är därför t.ex. vanliga bilar oftast har sin bästa bränsleförbrukning vid c:a 80 km/h, och anledningen till att man för flygplan brukar försöka hålla en hastighet som ger en så låg bränsleförbrukning som möjlig (d.v.s. ej maxfart).
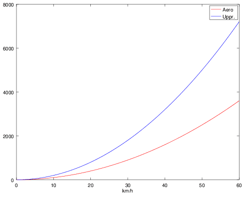
+ en massa text och en graf som handlar om luftmotståndets linjära beroende av tvärsnittsarean.
Tänk vad kränkta gubbar (som jag) vore om tanter var snabbare!Octagon sa:Vad är snittfarten för tanter?
P.R sa:Tack Göran!
Då är det vårträning med nån cykelklubb som gäller utöver den vanliga träningen. Jag har inte anmält mig till någon sub10 grupp och tänkte försöka hänga på där det kan passa med fart o watt. Försämrar det mycket mina möjligheter att nå drömgränsen 10 h?
GoranS sa:Jag har inte ifrågasatt att kraften som krävs för att övervinna luftmotståndet är proportionell mot farten i kvadrat. Jag frågade vad det är som du menar växer exponentiellt.
GoranS sa:Jag har inte läst MIT-rapporten, men en sökning på exponential i den rapporten ger inga träffar.
GoranS sa:F.ö. är första meningen i ditt svar svårbegripligt med en normal tolkning av ordet eftersom.
jokke sa:GoranS sa:Jag har inte ifrågasatt att kraften som krävs för att övervinna luftmotståndet är proportionell mot farten i kvadrat. Jag frågade vad det är som du menar växer exponentiellt.
En exponentialfunktion beskrivs generellt som
y = c⋅Aˣ
och i fallet där x = 2 så kallar man detta kvadratisk funktion, eller som du formulerar det att y är proportionellt mot x i kvadrat.
Kraften som krävs för att övervinna luftmotståndet ökar exponentiellt med farten, och exponenten i det fallet är 2 vilket då alltså är att det ökar/växer med kvadraten.
GoranS sa:Jag har inte läst MIT-rapporten, men en sökning på exponential i den rapporten ger inga träffar.
Ditt sätt att formulera dig ger mig inte intrycket av att du har något intresse alls av den rapporten, men om jag har fel på den punkten så kan du kolla i avsnitt 1.2 där de under (4) skriver inte om just "exponential" men om kvadraten, square, som är den exponent som gäller för luftmotståndet relativt farten.
Men det viktiga att ta med sig är sammanfattat att aerodynamiken har stor inverkan ju fortare man cyklar. Och ju högre snitthastighet man vill ha – i synnerhet om man cyklar själv – desto större vikt kan man därför vilja lägga på att tänka på minskat luftmotstånd.
GoranS sa:F.ö. är första meningen i ditt svar svårbegripligt med en normal tolkning av ordet eftersom.
Jag tror att den tänkta avslutningen på din mening kan ha fallit bort? (Vilket ju är lite festligt med tanke på att det är kritik om begriplighet.)
Octagon sa:Oj, det är minsann inte bara memils som kör snabbt. Gubbar kör över 50 i snitt. Tänk er rubriken på Aftonbladet:
SNITTFART FÖR GUBBAR ÖVER 50!
Vad är snittfarten för tanter?
Ja, det är nog möjligt. Jag har cyklat några VR på strax över 10 timmar, och hade då ungefär samma kapacitet som du beskriver ovan. Mitt upplägg då var att starta själv, hänga på lämpliga klungor där det passade, men även köra en del själv. I slutändan kanske det innebar 10-15 mil i klungor, och resten mer eller mindre själv (ibland bildades det små grupper efter mig). Med lite mer disciplin att hålla fast vid bra klungor hade jag lätt gått in under 10 timmar, nu valde jag ibland att släppa medvetet pga nåt behov, osv.P.R sa:Hej!
Intressant tråd och den informationen jag kan bidra med är att jag själv klarar cykla 30 km i en timme och jag började cykla för 1 1/2 år sedan. Jag var väldigt otränad och vägde si så där 108 kg och började cykla då jag fått högt blodtryck och diabetes.
Cyklingen har bidragit till att jag idag äter bättre samt gått ned till 94 kg och har normala värden gällande blodsocker och blodtryck.
I början var det svårt att snitta 20 men farten kom ganska fort och idag klarar jag 28-29 km i upp till 3 timmar och då är det inte jätteplatt.
Jag skaffade hattmätare för inte så länge sedan och har ett ftp på 240 och gissar att min lakat tröskel ligger på 160.
Jag planerar cykla Vätternrundan för första gången och siktar på att cykla under 10 timmar då jag läst att man sparar en del på att cykla i klunga.
Tror ni det är möjligt med nuvarande förmåga att klara det?
Precis. Grundproblemet är uppenbarligen att jokke felaktigt kallar kvadratiska och kubiska(?) funktioner för expoentiella. Missuppfattningen verkar bottna i att hen inte håller rätt på vad som är variabler och vad som är konstanter. Låt oss betrakta uttrycketNLC sa:jokke sa:GoranS sa:Jag har inte ifrågasatt att kraften som krävs för att övervinna luftmotståndet är proportionell mot farten i kvadrat. Jag frågade vad det är som du menar växer exponentiellt.
En exponentialfunktion beskrivs generellt som
y = c⋅Aˣ
och i fallet där x = 2 så kallar man detta kvadratisk funktion, eller som du formulerar det att y är proportionellt mot x i kvadrat.
Kraften som krävs för att övervinna luftmotståndet ökar exponentiellt med farten, och exponenten i det fallet är 2 vilket då alltså är att det ökar/växer med kvadraten.
GoranS sa:Jag har inte läst MIT-rapporten, men en sökning på exponential i den rapporten ger inga träffar.
Ditt sätt att formulera dig ger mig inte intrycket av att du har något intresse alls av den rapporten, men om jag har fel på den punkten så kan du kolla i avsnitt 1.2 där de under (4) skriver inte om just "exponential" men om kvadraten, square, som är den exponent som gäller för luftmotståndet relativt farten.
Men det viktiga att ta med sig är sammanfattat att aerodynamiken har stor inverkan ju fortare man cyklar. Och ju högre snitthastighet man vill ha – i synnerhet om man cyklar själv – desto större vikt kan man därför vilja lägga på att tänka på minskat luftmotstånd.
GoranS sa:F.ö. är första meningen i ditt svar svårbegripligt med en normal tolkning av ordet eftersom.
Jag tror att den tänkta avslutningen på din mening kan ha fallit bort? (Vilket ju är lite festligt med tanke på att det är kritik om begriplighet.)
Jag tror vi kan utgå från att den gode GoranS redan har koll på både fysik och aerodynamik i detta fall och bara ville förstå bruket av ordet "exponentiellt" när förhållandet bättre beskrivs som en polynomfunktion av andra resp tredje graden.
GoranS sa:Nu känns det dock klarlagt att det bara var en missuppfattning angående vad en exponentialfunktion är som låg bakom.
NLC sa:när förhållandet bättre beskrivs som en polynomfunktion av andra resp tredje graden.
emmer sa:Så! Är alla messerschmittat. nöjda och glada nu så vi slipper be moderatorerna flytta diskussionen till tråden ”Det jag inte kan om matte beskrivs av derivatan av absolutvärdesfunktionen vid origo”.
Kan du ge en länk till den tråden. TS behöver en uppläxning. ;-)emmer sa:Så! Är alla messerschmittat. nöjda och glada nu så vi slipper be moderatorerna flytta diskussionen till tråden ”Det jag inte kan om matte beskrivs av derivatan av absolutvärdesfunktionen vid origo”.
Gano sa:31,4 km/h.
ooms sa:Nä, jag är inte nöjd, för det heter "utrett".
Jo, precis vad jag skrev. I grupp funkar det nog redan nu. Men om han vill köra som jag gjorde (finns beskrivet högre upp i tråden) så måste nog snittet upp lite. Jag låg nog runt 28-30 km/h i snitt på mina träningsrundor då.GoranS sa:Hm, nästan 29 km/h i rullsnitt solo på drygt 15 mil tror jag inte behövs för att greja VR sub-10 givet att man har en fungerande grupp att åka med. När jag höll på och gnodde runt sjön så gick mina solopass på 15 mil snarare under än över 30 km/h och ett par gånger landade sluttiden under 9 timmar. Och jag upplevde inte de rundorna som direkt optimala.
Ah, sorry. Missade att du körde så pass mkt solo.ooms sa:Jo, precis vad jag skrev. I grupp funkar det nog redan nu. Men om han vill köra som jag gjorde (finns beskrivet högre upp i tråden) så måste nog snittet upp lite. Jag låg nog runt 28-30 km/h i snitt på mina träningsrundor då.GoranS sa:Hm, nästan 29 km/h i rullsnitt solo på drygt 15 mil tror jag inte behövs för att greja VR sub-10 givet att man har en fungerande grupp att åka med. När jag höll på och gnodde runt sjön så gick mina solopass på 15 mil snarare under än över 30 km/h och ett par gånger landade sluttiden under 9 timmar. Och jag upplevde inte de rundorna som direkt optimala.